Skip to main content

Featured

Amps To Kva Calculator

Amps To Kva Calculator . Kva = (220 * 20)/1000 = 4.4 kva. I (a) = 1000 × s (kva) / v (v) 3 phase kva to amps calculation formula calculation with line to line voltage. kVA to Amps Conversion Calculator Online Easy Rapid Calcs from easyrapidcalcs.com S (kva) = i (a) × v (v) / 1000. To calculate the kva rating of a machine from the amperage rating, just enter the value of current in amperes, voltage in volts, select power. Kva = a × v / 1000.

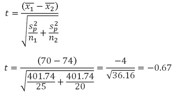
Independent Sample T Test Calculator


Independent Sample T Test Calculator. Unpaired, welch's, and paired t tests. The difference between the two means is.

One Sample T Test (Easily Explained w/ 5+ Examples!)
One Sample T Test (Easily Explained w/ 5+ Examples!) from calcworkshop.com

Enter raw data enter summary data. Since excel does not provide the option to test the homogeneity of variance and. This is the test conducted when samples from two different groups, species, or populations are studied and compared.

The Sample Means And Sample Variances Are Statistically Independent.


However, the standard deviation of the population is not known. Since excel does not provide the option to test the homogeneity of variance and. This is the test where you do not assume.

Enter Raw Data Enter Summary Data.


N = sample size for a & b. The sampled individuals) in the two groups are independent. The difference between the two means is.

A T Test Compares The Means Of Two Groups.


Of all the sample size calculations, this is probably the easiest. Your variable of interest should be continuous, be normally distributed, and have a similar spread between your 2 groups. For the independent samples t test, we calculate the t value or t statistic as follows:

Independent Samples T Tests Have The Following Hypotheses:


There are several types of two sample t tests and this calculator focuses on the three most common: Μ 1 = µ 2 (the two population means are equal) h 1: The sample means are denoted by x̄ 1 and x̄ 2.

This Is Not The Same.


Independent samples confidence interval calculator. This calculator should be used when the sampling units (e.g. Under raw data tab, you can enter values separated by comma, space, tab spaces or new line.


Comments

Popular Posts